220,000 Arrests, 75,000 With No Record
How A Chinese Father And His 6 Year Old Got Split In New York, And What A Real Warrant Looks Like
1. The father who kept his appointment
Fei Zheng is a Chinese asylum seeker in Queens. He did everything the government told him to do.
He crossed, was detained, released, and ordered to report to ICE at 26 Federal Plaza in Manhattan. On November 26, he walked into the building with his 6 year old son, Yuanxin, for a routine check-in.
They went in together.
They did not come out together.
ICE moved Fei to a county jail in Goshen, New York. His son disappeared into the federal maze. For days, his name did not appear in any public system. Advocates and elected officials were literally asking Washington:
Where is the child you took?
Only after public pressure did the Office of Refugee Resettlement quietly admit that Yuanxin is in its custody as an “unaccompanied minor.” They still refuse to say which facility he is in or let the public verify his condition.
Official line: Fei “refused” deportation, was “disruptive,” and “endangered” his child. Translation: he fought his case, so they grabbed the kid and blamed the parent. Now the plan is to deport them together and call it a success story.
This did not happen in some border tent in 2018. It happened in Manhattan in 2025. If the system can do this to a quiet Chinese dad who shows up to his appointment, there is no real limit on what it can do to anyone else.
2. The 75,000 people with no criminal record
Politicians sell ICE as a unit that hunts “the worst of the worst.” Gangsters. Traffickers. Murderers.
The government’s own data says something else.
In the first nine months of the Trump administration, ICE arrested about 220,000 people inside the United States. Nearly 75,000 of them had no criminal record at all. Not “minor offense.” Not “old DUI.” Zero convictions on file.
On top of that, recent data shows:
Arrests of Asian immigrants have jumped sharply.
About one third of those arrested in a recent surge are from China.
Hundreds of children have been pushed into shelter custody this year, the highest level in a decade.
So no, Fei and Yuanxin are not a “one off.” They are exactly the kind of people this system grabs. The tough talk about cartels is the marketing. The 75,000 clean records are the reality.
You can still argue for borders and deportations if you want. But you do not get to pretend this is a narrow, targeted operation. It is a dragnet.
3. Devil’s advocate: “They broke the law”
Let us take the usual excuse seriously and break it.
“They are illegal. If they followed the rules, this would not happen.”
Problem one: asylum is legal. U.S. law allows people to cross and request protection if they fear persecution. Fei entered that process, kept his appointments, put his name in the system. The response was to take his child and hide the location.
Problem two: “no criminal record” means exactly what it says. When internal data says 75,000 ICE arrests had no criminal history, that is not about visa status. That is about criminal databases. No convictions. That kills the “just criminals” story on contact.
Problem three: even actual criminals still have basic rights. The Constitution does not say the Fourth Amendment stops at the border or only applies to citizens. Once you defend disappearing a 6 year old inside a bureaucracy, you are not defending law. You are defending punishment as a political tool.
4. The warrant trick - and what Zohran Mamdani is actually teaching
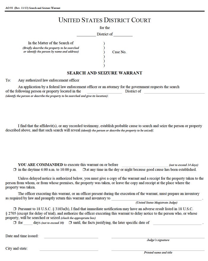
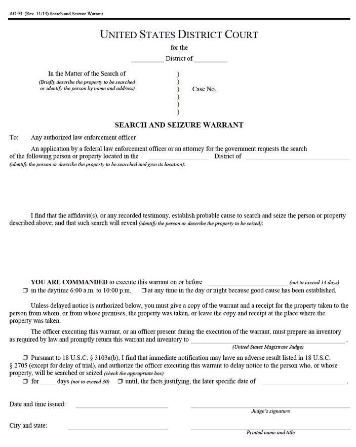
This is where New York’s mayor-elect Zohran Mamdani enters. He posted an image of a real judicial search warrant and told New Yorkers: if ICE does not have this, you do not have to open the door.
He is right. Here is the core legal distinction that ICE relies on people not understanding.
ICE “warrants”
Forms like I-200 and I-205.
Signed by ICE supervisors, not judges.
Authorize arrest, not entry into your home.
Do not give ICE the right to push into a private residence or nonpublic area without consent.
They look official on paper. Legally, they have the same authority at your front door as a strongly worded memo
.
Judicial warrants
Issued by a court.
Say “United States District Court” or a state court at the top.
State a specific address or person.
Signed by a judge.
Only this kind of warrant lets agents force their way into your home without your permission. That is what Mamdani showed. That is what groups like the ACLU and National Immigrant Justice Center have been telling people for years.
So the rule is simple:
If ICE knocks, do not open the door.
Tell them to slide any warrant under the door or show it through the window.
If it is not a court warrant with a judge’s signature and your address, you can legally refuse entry.
That applies to citizens, green card holders, and undocumented people. If they actually have the power, they do not need your cooperation. If they are shouting for your cooperation, that is a signal they probably do not have the power.
More information is here,
Dealing with ICE in the workplace
5. What people can actually do
If this stops at outrage, it is just content. Here is what turns it into a weapon.
At home
Practice a simple script with your family: “I do not open the door. Please show the warrant.”
Learn to spot the difference between an ICE form and a real court warrant. One says “Department of Homeland Security.” The other says “United States District Court” and has a judge’s signature.
Do not talk through the door about your status. You have the right to stay silent and ask for a lawyer.
In the community
Neighbors should know local hotlines and legal aid groups before anything happens.
If there is an operation and it is safe, document from a distance. Time, place, video, badge numbers if visible. Evidence matters later.
Support defense funds and rights groups with money and time. The 75,000 figure exists because someone sued to get that data. Yuanxin’s location is known only because people made noise.






Good article which should be distributed to all immigrants. On the other hand it is quite difficult to resist police brutality once you'll be confronted with that. The chance that you become a criminal is a thin red line because they will book you for (violently) resisting arrest and you have the awful status of being a criminal. Trump facilitated and encouraged this change and the American ICE "Braun Hemden" are successfully ending the American dream. Welcome to the American nightmare!
Thank you Neil for this thorough breakdown! Hoping for fast and safe reunion. This Chinese father and son
does not deserve this.